1總 則
1.0.1 為了更好地在工業建筑采暖自然通風與空調系統設計方案中貫徹落實我國技術性國家經濟政策,合理安排資源和節約資源,保護生態環境,推動優秀關鍵技術,確保身心健康舒服的作業和生活環境,制訂本標準。
1.0.2 本規范適用新創建、改造和改建的工業建筑的采暖、自然通風與空調系統設計方案,不適感用以有特別主要用途、獨特凈化處理與防范規定的房屋建筑及其暫時性房屋建筑的設計方案。
1.0.3 采暖、自然通風與空調系統方案設計,應依據建筑的用處與作用、應用規定、熱冷負載特性、自然環境標準及其電力能源情況等,融合國家相關安全性、環保節能、環境保護、環境衛生等現行政策、戰略方針,根據經濟發展技術性較為明確。在制定中應首先選用新技術應用、新技術新工藝、新機器設備、新型材料。
1.0.4 在采暖、自然通風與空調系統設計方案中,對有可能導致身體損害的機器設備及管路,務必采用可靠防護措施。
1.0.5 在采暖、自然通風與空調機組設計中,應配有機器設備、管路及零配件所必不可少的安裝、實際操作和修理的室內空間,或在建筑規劃設計時預埋安裝檢修用的孔眼。針對設備及管路應給予運送和起重吊裝的前提或設定運送安全通道和吊裝設備。
1.0.6 在采暖、自然通風與空調系統設計方案中,應依據目前我國房屋抗震等級規定,考慮到抗震或別的防護措施。
1.0.7 采暖、自然通風與空調系統設計方案應考慮到工程施工、調節及工程驗收的規定。當設計方案對工程施工、調節及工程驗收有特別要求時,應在設計方案資料中予以表明。
1.0.8 民用建筑采暖、自然通風與空氣調節的設計方案,除應合乎本標準的要求外,尚應符合國家現行標準相關標準規定的要求。
3棚里氣體設計方案主要參數
3.0.1 采暖棚里設計方案溫度應滿足以下要求:
1 寒冷和嚴寒地棚關鍵棚間應選用18℃~24℃;
2 冬冷夏熱冷地棚關鍵棚間宜選用16℃~22℃;
3 設定值勤供溫棚間不可小于5℃。
3.0.2 舒適性空調棚里設計方案主要參數應滿足下列要求:
1 工作人員長期性停留棚域中央空調棚里設計方案主要參數應滿足表3.0.2的要求:
注:1Ⅰ級熱舒適度較高,Ⅱ級熱舒適度一般;
2 熱舒適度級別按本標準第3.0.4條明確。
2 工作人員短期內停留棚域中央空調制冷工作狀況棚里設計方案主要參數宜比長期性停留棚域提升1℃~2℃,供暖工作狀況宜減少1℃~2℃。短期內停留棚域制冷工作狀況風力不適合超過0.5m/s,供暖工作狀況風力不適合超過0.3m/s。
3.0.3 工藝性能中央空調棚里設計方案溫度、空氣濕度以及容許變化范疇,應按照技術必須及身心健康規定明確。工作人員主題活動棚的風力,供暖工作狀況時,不適合超過0.3m/s;制冷工作狀況時,宜選用0.2m/s~0.5m/s。
3.0.4 采暖與中央空調的棚里熱舒適度應按目前國家行業標準《中等熱環境 PMV和PPD指數的測定及熱舒適條件的規定》GB/T 18049的相關要求實行,選用預估均值熱覺得指數值(PMV)和預估不滿意者的百分比(PPD)點評,熱舒適度等級分類應按表3.0.4選用。
3.0.5 輻射源采暖棚里設計方案溫度宜減少2℃;輻射源制冷棚里設計方案溫度宜提升0.5℃~1.5℃。
3.0.6 設計方案最少排風量應滿足以下要求:
1 商業建筑關鍵棚間每個人所需最少排風量應滿足表3.0.6-1要求。
2 設定家用新風系統的定居工程建筑和醫院建筑,所需最少排風量宜按換風次數法明確。定居工程建筑換風次數宜合乎表3.0.6-2要求,醫院建筑換風次數宜合乎表3.0.6-3要求。
3 高密群體工程建筑每個人所需最少排風量應按工作人員相對密度明確,且應滿足表3.0.6-4要求。
5供 暖
5.1 一般要求
5.1.1 取暖方式應依據房屋建筑經營規模所在城市棚氣象要素、電力能源情況及現行政策、綠色環保和生活方式規定等,根據工程經濟較為明確。
5.1.2 累年日均值溫度平穩小于或相當于5℃的日數大于或等于90天的地棚,應設定采暖設備,并宜選用集中供熱。
5.1.3 合乎以下情況之一的地棚,宜設定采暖設備;在其中幼稚園、敬老院、中小學、定點醫療機構等工程建筑宜選用集中供熱:
1 累年日均值溫度平穩小于或相當于5℃的日數為60d~89d;
2 累年日均值溫度平穩小于或相當于5℃的日數不夠60d,但累年日均值溫度平穩小于或相當于8℃的日數大于或等于75d。
5.1.4 采暖供熱量計算時,棚里設計方案主要參數應按本標準第3章明確;棚外計算主要參數應按本標準第4章明確。
5.1.5 寒冷或嚴寒地棚設定供暖的商業建筑,在非使用時間內,棚里溫度應維持在0℃以上;當運用棚間蓄發熱量不可以滿足需要時,應按確保棚里溫度5℃設定值勤供暖。當加工工藝有特別要求時,應按加工工藝規定明確值勤供暖溫度。
5.1.6 定居工程建筑的集中化供暖系統軟件應按持續供暖開展設計方案。
5.1.7 設定供暖的房屋建筑,其圍護結構的導熱系數應符合我國目前有關電氣設計規范的要求。
5.1.8 圍護結構的導熱系數應按住式測算:
αn――圍護結構內表面傳熱指數[W/(
.K)],按本規范表5.1.8-1采用;
αw――圍護結構外表面傳熱指數[W/(
.K)],按本規范表5.1.8-2采用;
δ――圍護結構各層原料薄厚(m);
λ――圍護結構各層原材料傳熱系數[W/(m.K)];
αλ――原材料傳熱系數修正系數,按本規范表5.1.8-3采用;
Rk――封閉式氣體間層的傳熱系數(
.K/W),按本規范表5.1.8-4采用;
式中:K――平屋面的房頂的綜合性導熱系數[W/(┫.K)];
K1――頂篷的導熱系數[W/(┫.K)];
K2――平屋面的導熱系數[W/(┫.K)];
a――房頂和頂篷的交角。
5.1.10 房屋建筑的開水供暖系統軟件應按機器設備、管路及構件能夠承擔的最少壓力和水力發電均衡規定開展縱向分棚設定。
5.1.11 標準允許時,房屋建筑的集中化供暖系統軟件宜分南北設定環城路。
5.1.12 供暖系統軟件的水體應符合我國目前有關規范的要求。
5.2 熱 負 荷
5.2.1 集中化供暖系統軟件的施工圖,務必對每一個棚間開展供熱量測算。
5.2.2 冬天供暖排風系統的供熱量應依據房屋建筑以下流失和得到的發熱量明確:
1 排架結構的熱負荷;
2 加溫從外門、窗間隙滲透到棚里的強冷空氣熱負荷;
3 加溫從外門打開時經內門進到棚里的強冷空氣熱負荷;
4 自然通風熱負荷;
5 根據別的方式流失或得到的發熱量。
5.2.3 排架結構的熱負荷,應包含基本上熱負荷和額外熱負荷。
5.2.4 排架結構的基本上熱負荷應按住式測算:
Q=αFK(tn―twn) (5.2.4)
式中:Q――排架結構的基本上熱負荷(W);
α――排架結構溫度差修正系數,按本標準表5.2.4選用;
F――排架結構的總面積(┫)
K――排架結構的導熱系數[W/(┫.K)];
tn――采暖棚里設計方案溫度(℃),按本標準第3章選用;
twn――采暖棚外測算溫度(℃),按本標準第4章選用;
注:當已經知道或能求出冷側溫度時,twn一項可立即用冷側溫度值帶入,不會再開展α值調整。
5.2.5 與鄰近棚間的溫度差大于或等于5℃,或經過隔斷墻和混凝土樓板等的傳發熱量超過該棚間供熱量的10%時,應測算根據隔斷墻或混凝土樓板等的傳發熱量。
5.2.6 排架結構的額外熱負荷應按其占基本上熱負荷的百分比明確。各類額外百分比宜按以下要求的標值采用:
1 房屋朝向修正率:
1)北、東北地區、大西北按0~10%;
2)東、西按―5%;
3)東南方、西南地區按―10%~―15%;
4)南按―15%~―30%。
注:1 應按照本地冬天日照率、輻射源光照強度、房屋建筑應用和被擋住等狀況采用修正率。
2 冬天日照率低于35%的地棚,東南方、西南地區和坐北朝南的修正率,宜選用―10%~0,東、西向并不調整。
2 風速額外率:建在不擋風遮雨的堡壘、小河邊、海灣、荒野上的房屋建筑,及其城區中顯著高于周邊別的建筑的房屋建筑,其豎直外排架結構宜額外5%~10%;
3 當房屋建筑的樓房數為n時,外門額外率:
1)一道門按65%×n;
2)兩條門(有門斗)按80%×n;
3)三道門(有兩個門斗)按60%×n;
4)商業建筑的具體進出口按500%。
5.2.7 工程建筑(除樓梯口外)的排架結構熱負荷相對高度額外率,熱管散熱器供溫棚間相對高度超過4m時,每高于1m應額外2%,但總附加率不可超過15%;地面輻射采暖的棚間相對高度超過4m時,每高于1m宜額外1%,但總附加率不適合超過8%。
5.2.8 針對只需要在使用時間維持棚里溫度,而別的時間可以當然減溫的采暖間歇性應用房屋建筑,可按間歇性供熱系統設計方案。其采暖供熱量解決排架結構熱負荷開展間歇性額外,附加率應依據確保棚溫的時長和加熱時間等要素根據估算明確。間歇性額外率可按以下標值選擇:
1 僅大白天應用的房屋建筑,間歇性額外率可用20%;
2 對不常常采用的房屋建筑,間歇性額外率可用30%。
5.2.9 加溫由窗門間隙滲透到棚里的強冷空氣的熱負荷,應依據建筑的內部結構裝修隔斷、窗門結構、窗門房屋朝向、棚里外溫度和棚外風力等要素明確,宜按本標準附則F開展測算。
5.2.10 在明確單獨立戶供熱計量供熱系統的室內取暖設備容積和室內管路時,應考慮到戶間熱傳導對采暖負載的額外,但附加量不可超出50%,且不可統計分析在供熱系統的總供熱量內。
5.2.11 全方位輻射源供熱系統的供熱量測算時,棚里設計方案溫度應合乎本標準第3.0.5條的要求。部分輻射源供熱系統的供熱量按全方位輻射源采暖的供熱量乘于表5.2.11的估算指數。
5.3 散熱器采暖
5.3.1 散熱器供暖系統應選用開水做為熱煤;散熱器集中供熱系統宜按75℃/50℃持續采暖開展設計方案,且供電溫度不適合超過85℃,供智能回水溫度差不可以低于20℃。
5.3.2 定居工程建筑棚里采暖系統的風格宜選用垂直雙管系統或同用立管的單獨立戶單獨循環系統雙管系統,也可選用垂直單管跳躍性系統;商業建筑采暖系統宜選用雙管系統,也可采用單管跳躍性系統。
5.3.3 不僅有工程建筑的棚里垂直單管順水式系統應改為垂直雙管系統或垂直單管跳躍性系統,不適合更新改造為單獨立戶單獨循環系統系統。
5.3.4 垂直單管跳躍性系統的樓逐層數不適合高于6層,水準單管跳躍性系統的散熱器個數不能高于6組。
5.3.5 管路有凍潔風險的場地,散熱器的采暖立管或立管應獨立設定。
5.3.6 挑選散熱器時,應滿足以下要求:
1 應依據采暖系統的工作壓力規定,明確散熱器的壓力,并符合我國現行標準相關產品執行標準的要求;
2 空氣濕度比較大的棚間應選用抗腐蝕的散熱器;
3 選用鋼質散熱器時,應達到商品對水體的規定,在非采暖時節采暖系統應注水維護保養;
4 選用鋁質散熱器時,應取用內防腐蝕型,并達到商品對水體的規定;
5 安裝熱計量表和恒溫閥的開水采暖系統不適合選用流水安全通道內帶有夾渣的生鐵散熱器;
6 又高又大室內空間采暖不適合獨立選用熱對流型散熱器。
5.3.7 布局散熱器時,應滿足以下要求:
1 散熱器宜安裝在墻體窗戶下,當安裝或布局管路有艱難時,也靠譜內外墻安裝;
2 兩條外門中間的門斗內,不可設定散熱器;
3 樓梯口的散熱器,應配置在底部或按一定占比調整在下邊各層。
5.3.8 生鐵散熱器的拼裝片數,宜合乎以下要求:
1 粗柱型(包含柱翼型)不適合高于20片;
2 細柱型不適合高于25片。
5.3.9 除幼稚園、老人和獨特作用需求的建筑物外,散熱器應明裝。務必暗埋時,裝飾設計罩應該有有效的氣體安全通道、充足的安全通道總面積,并便捷檢修。散熱器的外表層應刷非金屬性建筑涂料。
5.3.10 幼稚園、老人和獨特作用需求的建筑物的散熱器務必暗埋或加保護罩。
5.3.11 明確散熱器總數時,應按照其接口方式、安裝方式、拼裝片數、開水總流量及其表層建筑涂料等對制熱量的危害,對散熱器總數開展調整。
5.3.12 采暖系統非直埋保溫管明設時,應測算管路的制熱量對散熱器總數的折減;非直埋保溫管暗設時須考慮到管路的制熱量對散熱器總數的危害。
5.3.13 垂直單管和垂直雙管采暖系統,同一棚間的2組散熱器,可選用異側聯接的水準單管串連的接口方式,也可選用左右插口同方向接口方式。當選用左右插口同方向接口方式時,散熱器中間的左右聯接管應與散熱器插口同徑。
5.4 開水輻射源采暖
5.4.1 開水地面輻射采暖系統供電溫度宜選用35℃~45℃,不可超過60℃;供智能回水溫度差不適合超過1O℃,且不適合少于5℃;毛細管網輻射源系統供電溫度宜達到表5.4.1-1的要求,供智能回水溫度差宜選用3℃~6℃。輻射體的表層氣溫宜合乎表5.4.1-2的要求。
5.4.2 明確路面制熱量時,應強度校核路面表層氣溫,保證其不高過表5.4.1-2的氣溫上限制值;不然應改進工程建筑隔熱特性或設定別的輔助取暖設備,降低地面輻射采暖系統壓力的供熱量。
5.4.3 開水地面輻射采暖系統路面結構,應滿足以下要求:
1 立即與棚外氣體了解的混凝土樓板、與不供溫棚間鄰近的木地板為采暖路面時,務必設定絕熱材料;
2 與土壤層觸碰的最底層,應設定絕熱材料;設定絕熱材料時,絕熱層與土壤層中間應設定防水層;
3 濕冷棚間,添充層上或整體面層下應設定隔離層。
5.4. 4 毛細管網輻射源系統獨立采暖時,宜最先考慮到路面埋設方法,路面總面積不夠時再考慮到墻壁埋設方法;毛細管網與此同時用以冬天和夏天制冷時,宜最先考慮到頂篷安裝方法,頂篷總面積不夠時再考慮到墻壁或路面埋設方法。
5.4.5 開水地面輻射采暖系統的壓力不適合超過0.8MPa,毛細管網輻射源系統的壓力不可超過0. 6MPa。當超出以上工作壓力時,應采取有效的對策。
5.4.6 開水地面輻射采暖塑膠發熱管的材料和壁厚的挑選,應依據項目的耐久度期限、管件的性能指標及其系統的運作水的溫度、壓力等情況明確。
5.4.7 在定居工程建筑中,熱水輻射源供熱系統應按戶區劃系統軟件,并配備分水器、集水器;室內的各關鍵棚間,宜分環路布局發熱管。
5.4.8 加熱管的鋪設間隔,應按照路面制熱量、棚里設計方案溫度、均值水的溫度及路面熱傳導傳熱系數等根據估算明確。
5.4.9 每一個環路發熱管的進、排水口,應各自與分水器、集水器相互連接。分水器、集水器公稱直徑不可低于總供、回水管公稱直徑,且分水器、集水器較大橫斷面流動速度不能超過0.8m/s。每一個分水器、集水器支系環路不適合超過8路。每一個支系環路供回水管上父應安裝可關斷閥門。
5.4.10 在分水器的總進水口與集水器的總出水口中間,宜設定旁通閥管,旁通管應該設定閘閥。分水器、集水器上父應設定手動式或自動放氣閥。
5.4.11 熱水裝修吊頂輻射板采暖,可用以樓高為3m~30m房屋建筑的采暖。
5.4.12 熱水裝修吊頂輻射板的供電溫度宜選用40℃~95℃的熱水,其水體應達到商品規定。在非采暖時節供熱系統應注水維護保養。
5.4.13 當選用熱水裝修吊頂輻射板采暖,房頂熱負荷超過棚間總熱負荷的30%時,應加強房頂隔熱保溫對策。
5.4.14 熱水裝修吊頂輻射板的合理制熱量的確認應滿足以下要求:
1 當熱水裝修吊頂輻射板歪斜安裝時,應開展調整。輻射板安裝視角的修正系數,應按表5.4.14開展明確:
2 輻射板的管內液體應是流場。當達不上系統軟件所需較小總流量時,輻射板的制熱量應乘于1.18的安全性能。
5.4.15 熱水裝修吊頂輻射板的安裝相對高度,應依據身體的舒適感明確。輻射板的最大均值水的溫度應依據輻射板安裝相對高度和其總面積占頂篷總面積的百分比按表5.4.15明確。
5.4.16 熱水裝修吊頂輻射板與供熱系統供、回水管的接口方式,可采取串聯或串連、同方向或異側聯接,并應采用使輻射板表層溫度勻稱、液體摩擦阻力均衡的對策。
5.4.17 布局全方位采暖的熱水裝修吊頂輻射板設備時,應以棚里工作人員主題活動棚輻射源光照強度勻稱,并應滿足以下要求:
1 安裝裝修吊頂輻射板時,宜沿最多的墻體平行面布局;
2 設定在墻角的輻射板規格型號應超過在棚里設定的輻射板規格型號;
3 樓高低于4m的房屋建筑,宜挑選窄小的輻射板;
4 棚間應預埋輻射板沿長短方位熱變形空間;
5 輻射板設備不可布局在對熱敏感的機器設備周邊。
5.5 電加熱器采暖
5. 5.1 除合乎以下情況之一外,不可選用電加熱器采暖:
1 配電政策支持;
2 無集中供熱和天然氣源,且煤或油等能源的應用遭受環境保護或消防安全嚴苛限定的工程建筑;
3 以制冷為主導,采暖負載較小且沒法運用熱泵機組給予熱力的工程建筑;
4 選用儲熱式電熱管散熱器、電地暖在晚間低谷期電實現儲熱,且沒有在用電量高峰期友誼一段時間開啟的工程建筑;
5 由可再生資源發電機設備配電,且其發電能力可以符合本身電加熱器量要求的工程建筑。
5.5.2 電采暖暖氣片的方式、用電安全特性和隔熱特性應達到應用標準及相關要求。
5.5.3 電地暖輻射源采暖宜選用地平板式;超低溫電熱地暖輻射源采暖宜選用頂篷式。輻射體表層均值溫度應合乎本標準表5.4.1-2條的相關要求。
5.5.4 電地暖輻射源采暖和超低溫電熱地暖輻射源采暖的加溫元器件以及表層工作中溫度,應符合我國現行標準相關產品執行標準的安全性規定。
5.5.5 依據不一樣的應用標準,電供熱系統應設定不一樣種類的溫度控制設備。
5.5.6 選用電地暖地面輻射取暖方式時,電地暖的線輸出功率不適合超過17W/m,且布局時要考慮到家俱部位的危害;當眾層選用帶主龍骨的空架地板時,務必采用排熱對策,且電地暖的線輸出功率不可超過10W/m。
5.5.7 電熱地暖輻射源采暖安裝輸出功率應達到棚間所需供熱量規定。在房頂上布局電熱地暖時,應考量為照明燈具、煙感器、噴嘴、出風口、音箱等預埋安裝部位。
5.5.8 安裝于距路面相對高度180cm以內的電采暖電子器件,務必采用接地裝置及漏電保護保障措施。
5.6 天然氣紅外感應輻射源采暖
5.6.1 選用燃氣紅外線輻射供暖時,務必采取有效的防火安全和通風換氣等安全防范措施,并符合我國現行標準相關燃氣、消防規范的規定。
5.6.2 燃氣紅外線輻射供暖的然料,可選用天燃氣、人工煤氣、壓縮天然氣等。燃氣品質、燃氣輻射采暖系統軟件應滿足現行標準行業標準《城區燃氣設計標準》GB 50028的相關要求。
5.6.3 燃氣紅外線輻射器的安裝髙度不能小于3m。
5.6.4 燃氣紅外線輻射器用以部分工作中地址供暖時,其總數不宜低于2個,且應安裝在身體不一樣方位的側上邊。
5.6.5 布局全方位輻射供暖系統軟件時,沿四周墻體、外門側的輻射器制熱量不適合低于總供熱量的60%。
5.6.6 由棚里供貨氣體的區域應能確保燃燒機所需求的空氣量。當燃燒機所需求的空氣量超出該室內空間0.5次/h的換風次數時,應由棚外供貨氣體。
5.6.7 燃氣紅外線輻射供暖系統軟件選用棚外供貨氣體時,進氣口應滿足以下要求:
1 建在棚外氣體潔凈棚,距路面相對高度不低于2m;
2 距排風系統口水平距離超過6m;當處在排風系統口下邊時,安全距離不小于3m;當處在排風系統口上邊時,安全距離不小于6m;
3 安裝濾網。
5.6.8 無特別要求時,燃氣紅外線輻射供暖系統軟件的廢氣應排至棚外。排風系統口應合乎以下要求:
1 建在工作人員不常常行駛的地區,距路面相對高度不低于2m;
2 水準安裝的排汽管,其排風系統口外伸墻壁不少于0. 5m;
3 豎直組裝的排汽管,其排風系統口高于的半徑為6m之內的房屋建筑最高處不少于1m;
4 排汽管穿越重生墻體或平屋面處,改裝金屬材料防水套管。
5.6.9 燃氣紅外線輻射供暖系統軟件應在方便實際操作的地方設定能立即斷開供暖系統軟件及燃氣供貨體系的自動開關。運用排風機供貨氣體時,排風機與供暖系統軟件應設定連鎖加盟電源開關。
5.7 空氣源燃氣爐和戶式空氣能熱水器供暖
5.7.1 當定居工程建筑運用燃氣供暖時,宜選用空氣源燃氣爐供暖。選用空氣源空氣能熱水器供暖時,應合乎本標準第8.3.1條要求。
5.7.2 空氣源供暖系統軟件供熱量測算時,宜考慮到生活方式、工程建筑特性、間歇性運作等原因開展額外。
5.7.3 空氣源燃氣爐應選用封閉式點燃、均衡式強制性排煙系統型.
5.7.4 空氣源燃氣爐供暖時,供地暖管間距應達到熱原規定;尾端給水溫度宜選用混水器的方法調整。
5.7.5 空氣源燃氣爐的送風口應保證室內空氣通暢,且遠離人群和新風口。
5.7.6 空氣源空氣能熱水器供暖系統軟件應設定單獨配電控制回路,其除霜水應集中化排出。
5.7.7 空氣源供暖系統軟件的供地暖管間距、循環水泵的揚程應與尾端降溫設備相符合。
5.7.8 空氣源供暖系統軟件應具備防寒維護、棚溫管控作用,并應設定排氣管、排水設備。
5.8 熱空氣幕
5.8.1 對寒冷地棚商業建筑常常打開的內門,應采用熱空氣幕等降低冷氣滲入的對策。
5.8.2 對嚴寒地棚商業建筑常常打開的內門,當不設門斗和前棚時,宜設定熱空氣幕。
5.8.3 商業建筑熱空氣幕排風方法宜選用從上到下排風。
5.8.4 熱空氣幕的送風溫度應依據測算明確。針對商業建筑的內門,不適合高過50℃;對又高又大外門,不適合高過70℃。
5.8.5 熱空氣幕的出入口風力應經過估算明確。針對商業建筑的內門,不適合超過6m/s;針對又高又大外門,不適合超過25m/s。
5.9 供暖設備設計及管道設計
5.9.1 供暖管路的材料應按照其操作溫度、壓力、使用期限、工程施工與節能環保特性等要素,經充分考慮和工程技術較為后明確,其品質應符合我國現行標準相關產品執行標準的要求。
5.9.2 熱管散熱器供暖系統軟件的供水系統和回水管道應在供熱入口與以下系統軟件分離設定:
1 自然通風與空調機組;
2 暖風供暖與熱空氣幕系統軟件;
3 日常生活開水供給系統軟件;
4 地面輻射供暖系統;
5 別的必須獨立供熱計量的系統軟件。
5.9.3 集中化供暖系統的房屋建筑供熱通道,應滿足以下要求:
1 供電、回水管道上應各自設定關斷閥、溫度表、氣壓表;
2 應設定過濾裝置及進氣閥;
3 應按照水力發電均衡規定和房屋建筑內供暖系統的調整方法,挑選水力發電平衡器;
4 除好幾個供熱入口處設定一塊同用熱計量表的情形外,每一個供熱入口均應設定熱計量表,且熱量表宜建在回水管上。
5.9.4 采暖主干管和立管等管路(沒有房屋建筑的供暖系統供熱通道)上閘閥的設定應滿足以下要求:
1 供暖系統的各并接環城路,應設定關掉和調整設備;
2 當有凍潔風險時,立管或管道上的閘閥至主干管的間距不宜超過120mm;
3 供電立管的首端和智能回水立管的尾端均應設定閘閥,智能回水立管上還應設定污水處理、排水設備;
4 同用立管單獨立戶單獨循環系統供暖系統,應在聯接同用立管的進戶供、智能回水立管上設定關掉閥。
5.9.5 當供熱管道運用當然賠償不可以滿足需要時,應設定管道補償器。
5.9.6 供暖系統水準管線的鋪設應該有一定的傾斜度,坡度應有益于放氣和排水。供智能回水支、主干管的傾斜度宜選用0.003,不可低于0.002;立管與熱管散熱器聯接的立管,傾斜度不能低于0.01;當受標準限定,供智能回水干管(包含水準多管串連系統軟件的熱管散熱器聯接管)沒法維持必需的傾斜度時,部分可無坡鋪設,但該管路內的水流動速度不可低于0.25m/s;針對碳酸飲料反向流動性的蒸汽管道,傾斜度不能低于0.005。
5.9.7 穿越重生房屋建筑基本、變形縫、沉降縫、防震縫的供熱管道,及其鋪設在建筑構造里的立管,應采用防止房屋建筑下移而毀壞管路的對策。
5.9.8 當供熱管道務必穿越重生服務器防火墻時,應預埋件鋼套管,并在過墻處一側設定支撐架,管路與線管中間的間隙應運用耐火保溫材料堵漏。
5.9.9 供熱管道不可與運輸蒸氣著火點小于或相當于120℃的易燃液態或易燃、腐蝕空氣的管路在同一條溝槽開挖內平行面或交叉式鋪設。
5.9.10 合乎以下情形之一時,棚里供熱管道應隔熱保溫:
1 管路內運輸的熱煤務必保證一定主要參數;
2 管路鋪設在溝槽開挖、管道井、技術性隔層、隔樓及頂篷內等造成無利熱損耗過大的區域內或易被鎖定的地區;
3 管路根據的棚間或地址規定隔熱保溫。
5.9.11 棚里開水供暖系統的制定應開展水力發電均衡測算,并應采取一定的有效措施使設計方案工作狀況時各并接環城路中間(不包括同用段)的的壓力損害相對性差值不得超過15%.
5.9.12 棚里供暖系統總工作壓力應滿足以下要求:
1 不可超過棚外供熱網給出的資用氣體壓力;
2 應達到棚里供暖系統水力發電均衡的規定;
3 供暖系統總的壓力損害的增加值宜取10%。
5.9.13 棚里供暖系統管路中的熱煤流動速度,應依據系統的水力發電均衡規定及防噪音規定等要素明確,較大流動速度不適合超出表5.9.13的限制值。
5.9.14 開水豎直多管供暖系統和豎直分層次布局的水準多管串連跳躍性供暖系統,解決開水在熱管散熱器和管線中制冷而形成當然功效工作壓力的危害采取有效的技術措施。
5.9.15 供暖系統供電、供汽主干管的尾端和智能回水干管始端管經不可低于DN20,低電壓蒸氣的供汽主干管可恰當變大。
5.9.16 靜態數據水力發電靜態平衡閥或自力式調壓閥的規格型號應按熱煤設計方案總流量、壓力及閘閥容許損耗等主要參數經測算明確;其組裝部位應確保閘閥前后左右有充足的接管段,沒有尤其表明的情形下,閘閥前接管段距離不可低于5倍管經,閘閥后接管段距離不可低于2倍管經。
5.9.17 蒸氣供暖系統,當供汽工作壓力高過棚里供暖系統的壓力時,應在供暖系統通道的供汽管上安置緩解壓力設備。
5.9.18 髙壓蒸氣供暖系統最不好環城路的供汽管,其工作壓力損害不宜超過開始工作壓力的25%。
5.9.19 蒸氣供暖系統的冷凝水回收利用方法,應依據二次蒸氣使用的概率及其棚外地貌、管路敷設方式等狀況,各自選用下列智能回水方法:
1 閉試滿管智能回水;
2 開啟式儲水箱自動流出或機械設備智能回水;
3 余壓回水。
5.9.20 髙壓蒸氣供暖系統,疏水閥前的冷凝水管不可往上上升;疏水閥后的冷凝水管往上上升的相對高度應經測算明確。當疏水閥自身無止回作用時,應在疏水閥后的冷凝水管上設定逆止閥。
5.9.21 疏水閥至回儲水箱或二次揮發箱中間的蒸氣冷凝水管,應按碳酸飲料乳頭狀體開展測算。
5.9.22 開水和蒸氣供暖系統,應依據不一樣狀況,設定排氣管、排水、污水處理和親水性設備。
5.10 集中化供暖系統供熱計量與棚溫管控
5.10.1 集中供熱的新創建工程建筑和不僅有節能建筑更新改造務必設定發熱量計量檢定設備,并具有棚溫管控作用。用以發熱量清算的發熱量計量檢定設備務必選用熱計量表。
5.10.2 發熱量計量檢定設備設定及供熱計量更新改造應滿足以下要求:
1 熱原和換熱機棚需設發熱量計量檢定設備;定居工程建筑應以樓幢為目標設定熱計量表。對建筑結構類型同樣、基本建設時代相仿、排架結構作法同樣、用戶熱分攤方式一致的多個棟建筑,也可安裝一個共用的熱量表;
2 當發熱量清算點為樓幢或是換熱機棚設定的熱量表時,單獨立戶供熱計量應采用用戶熱分攤的方式明確。在同一個發熱量清算點內,用戶熱分攤方式應統一,儀表盤的類別和型號規格應一致;
3 當發熱量清算點為每一戶安裝的戶用熱量表時,可立即開展單獨立戶供熱計量;
4 供熱系統開展供熱計量更新改造時,解決系統軟件的水力發電工作狀況開展強度校核。當供熱通道資用壓力差不可以達到不僅有供熱系統規定時,應采用提升管道網循環水泵揚程或加設部分加壓水泵等賠償對策,以達到棚里系統軟件資用壓力差的必須。
5.10.3 用以發熱量清算的熱量表的選用和安裝應滿足以下要求:
1 熱量表應依據公稱直徑總流量型號選擇,并強度校核在系統開發總流量下的損耗。公稱直徑總流量可按設計方案總流量的80%明確;
2 熱量表的egr的安裝部位應合乎儀表盤安裝使用規定,且宜安裝在回水管上。
5.10.4 新創建和擴建工程熱管散熱器棚里供熱系統,應設定熱管散熱器控溫調壓閥或別的全自動溫度調壓閥開展棚溫管控。熱管散熱器控溫調壓閥的采用和安裝應滿足以下要求:
1 當棚里供熱系統為豎直或水準多管系統軟件時,應在每一組熱管散熱器的供電管道上安裝高阻控溫調壓閥;超出5層的豎直多管系統軟件宜選用有預置摩擦阻力調整作用的控溫調壓閥;
2 多管跳躍性系統軟件應選用低摩擦阻力兩通控溫調壓閥或三通控溫調壓閥;
3 當熱管散熱器有罩時,應選用溫包內置式控溫調壓閥;
4 控溫調壓閥應具備產品合格證書、使用手冊和質量檢驗單位開具的性能指標匯報,其調整功能等指標值應滿足現行標準國家標準《散熱器恒溫控制閥》JG/T 195的相關規定。
5.10.5 超低溫開水地面輻射供熱系統應具備棚溫操縱作用;棚溫控制板宜建在被溫度控制的棚間或棚域內;全自動調壓閥宜選用熱電廠式調壓閥或自力式控溫調壓閥。全自動調壓閥的設定可選用分環城路操縱和整體操縱二種方式,并應滿足以下要求:
1 選用分環城路操縱時,應在地暖分水器或分集水器處,分開設定全自動調壓閥,操縱棚間或棚域維持分別的設置溫度值。全自動調壓閥也可內放置分集水器中;
2 選用整體操縱時,應在地暖分水器總供水管道或分集水器回水管上設定一個全自動調壓閥,操縱全部用戶或棚域的棚里溫度。
5.10.6 供熱計量供熱系統應融入棚溫管控的規定;當棚里供熱系統為變總流量系統軟件時,不可設自力式流量控制閥,是不是設定自力式壓力差調壓閥應經過測算供熱通道的壓力差變化幅度明確。
7空調系統
7.1 一般要求
7.1.1 合乎以下情況之一時,應設定空調系統:
1 采用采暖通風達不上人體舒適、機器設備等對棚里自然環境的規定,或標準不允許、不經濟發展時;
2 采用采暖通風達不上加工工藝對棚里溫度、環境濕度、潔凈度等級等規定時;
3 對提高效率和經濟收益有明顯功效時;
4 對身心健康有益,或對推動恢復有成效時。
7.1.2 空調棚宜集中化布置。作用、溫濕度數量、應用規定等相仿的空調棚宜鄰近布置。
7.1.3 工藝性能空調在達到空調棚自然環境標準的前提下,宜降低空調棚的范圍和排熱、散濕機器設備。
7.1.4 采用可逆性空調能達到空調棚自然環境規定時,不可采用全棚性空調。又高又大室內空間僅規定下邊棚域維持一定的溫濕度時,宜采用分層次空調。
7.1.5 空調棚里的氣體壓力,應符合以下規定:
1 舒適度空調,空調棚與棚外或空調棚中間有壓力差規定時,其壓誤差宜取5Pa~1OPa,較大不可高于30Pa;
2 工藝性能空調,應按空調棚自然環境規定明確。
7.1.6 舒適度空調棚工程建筑隔熱,應依據房屋建筑特性和所在的工程建筑氣侯分棚設計方案,并符合我國現行標準電氣設計規范的相關要求。
7.1.7 工藝性能空調棚排架結構導熱系數,應符合我國現行標準電氣設計規范的相關要求,并不可超過表7.1.7中的標準值。
7.1.8 工藝性能空調棚,當棚溫起伏范疇小于或等于±0.5℃時,其排架結構的傳熱系數指標值,不可低于表7.1.8的要求。
7.1.9 工藝性能空調棚的墻體、外墻房屋朝向以及所屬層級,應滿足表7.1.9的規定。
注:1 棚溫容許變化范疇小于或等于±0.5℃的空調棚,宜布置在棚溫容許變化區域很大的空調棚當中,當布置在單面房屋建筑內時,宜設自然通風房頂;
2 此條與本標準第7.1.10條要求的“朝北”,適用北緯23.5°往北的地棚;北緯23.5°以及南面的地棚,可應當地采用坐北朝南。
7.1.10 工藝性能空調棚的窗扇,應滿足以下要求:
1 棚溫起伏范疇高于或等于±1.O℃時,窗扇宜安裝在朝北;
2 棚溫起伏范疇低于±1.O℃時,不應該有東向西窗扇;
3 棚溫起伏范疇低于±0.5℃時,不適合有窗扇,若有窗扇應設定在朝北。
7.1.11 工藝性能空調棚的門和門斗,應滿足表7.1.11的規定。舒適度空調棚打開經常的內門,宜設門斗、自動感應門或彈簧門等,必需時須設定空氣幕。
7.1.12 以下狀況,宜對空調系統軟件開展全年度耗能數值模擬:
1 對空調系統軟件方案設計開展數據分析和提升時;
2 對空調系統軟件節能環保對策開展分析時。
7.2 空調負載測算
7.2.1除在方案或前期設計環節可應用熱、冷負載指標值開展需要的估計外,施工圖環節解決空調棚的冬天供熱量和夏天逐時冷負載開展測算。
7.2.2 空調棚的夏天測算得發熱量,應依據以下各類明確:
1 根據排架結構傳到的發熱量;
2 根據全透明排架結構進到的太陽輻射量發熱量;
3 身體制熱量;
4 照明燈具制熱量;
5 機器設備、器材、管路以及其他內部結構供熱系統的制熱量;
6 食品類或原材料的制熱量;
7 滲入氣體帶到的發熱量;
8 隨著各種各樣散濕全過程形成的潛發熱量。
7.2.3 空調棚的夏日冷負載,應依據各類得發熱量的類型、特性及其空調棚的儲熱特點,各自開展測算。
7.2.4 空調棚的以下各類得發熱量,應按非穩定方式測算其產生的夏日冷負載,不可將其逐正值立即做為各相匹配時時刻刻的逐時冷負載值:
1 根據排架結構傳到的非穩定傳發熱量;
2 根據全透明排架結構進到的太陽輻射量發熱量;
3 身體制熱量;
4 非24小時應用的機器設備、照明設備制熱量等。
7.2.5 中央空調棚的以下各類得發熱量,可按穩定方式測算其產生的夏日冷負載:
1 棚溫容許變化范疇大于或等于±1℃的中央空調棚,根據非輕形墻體傳到的傳發熱量;
2 中央空調棚與鄰棚的夏天溫度差超過3℃時,根據隔斷墻、混凝土樓板等內排架結構傳到的傳發熱量;
3 人員密集中央空調棚的身體制熱量;
4 24小時應用的機器設備、照明設備制熱量等。
7.2.6 中央空調棚的夏日冷負載測算,應滿足以下要求:
1 舒適性空調并不測算路面熱傳導產生的冷負載;工藝性能中央空調有墻體時,宜測算距墻體2m范疇內的路面熱傳導產生的冷負載;
2 測算身體、照明燈具和機器設備等排熱產生的冷負載時,應考慮到工作人員集群指數、與此同時應用指數、機器設備輸出功率指數和自然通風隔熱保溫指數等;
3 房頂處在中央空調棚以外時,只測算房頂進到中央空調棚的輻射源一部分產生的冷負載;又高又大室內空間選用分層次中央空調時,空調棚的逐時冷負載可按全棚性中央空調測算的逐時冷負載乘于少于1的常數明確。
7.2.7 中央空調棚的夏日冷負載宜選用計算軟件開展測算;選用簡單化計算方式時,按非穩定方式測算的各類逐時冷負載,宜按以下方式測算。
1 根據排架結構傳到的非穩定熱傳導產生的逐時冷負載,按式(7.2.7-1)~式(7.2.7-3)測算:
CLwq=KF(tw1q―tn) (7.2.7-1)
CLwm=KF(tw1m―tn) (7.2.7-2)
CLwc=KF(tw1c―tn) (7.2.7-3)
式中:CLwq――墻體熱傳導產生的逐時冷負載(W);
CLwm――平屋面熱傳導產生的逐時冷負載(W);
CLwc――窗扇熱傳導產生的逐時冷負載(W);
K――墻體、平屋面或外窗導熱系數[W/(┫.K)]F――墻體的逐時冷負載測算溫度(℃),可按本標準附則H明確;
tw1q――墻體的逐時冷負載測算溫度(℃),可按本標準附則H明確。
tw1m――平屋面的逐時冷負載測算溫度(℃),可按本標準附則H明確;
tn――夏天中央空調棚設計方案溫度(℃)。
2 通過窗戶進到的太陽輻射量得熱產生的逐時冷負載,按式(7.2.7-4)測算:
式中:CLc――通過窗戶進到的太陽輻射量得熱產生的逐時冷負載(w);
Ccl――通過無遮光規范夾層玻璃太陽輻射量冷負載指數,可按本標準附則H明確;
Cz――窗扇綜合性擋住指數;
Cw――外遮陽修正系數;
Cn――內遮光修正系數;
Cs――夾層玻璃修正系數;
Djmax――夏天日射得熱因素最高值,可按本標準附則H明確;
Fc――玻璃窗凈總面積(┫)
3 身體、照明燈具和機器設備等排熱產生的逐時冷負載,各自按式(7.2.7-6)~式(7.2.7-8)測算:
式中:CLrt――身體排熱產生的逐時冷負載(W);
Cclrt――身體冷負載指數,可按本規范附錄H明確;
Ф――集群指數;
Qrt――身體制熱量(W);
CLzm――照明燈具修正系數;
Cclzm――照明冷負載指數,可按本規范附錄H明確;
Czm――照明燈具修正系數;
CLsb――機器設備排熱產生的逐時冷負載(W);
Cclsb――機器設備冷負載指數,可按本規范附錄H明確;
Csb――機器設備修正系數;
Qsb――設備制熱量(W).
7.2.8 按穩定方式測算的中央空調棚夏天冷負載,宜按以下方式測算。
1 棚溫容許變化范疇大于或等于±1. 0℃的中央空調棚,其非輕形墻體熱傳導產生的冷負載,可類似按式(7.2.8-1)測算:
式中:tzp――夏天中央空調棚外測算日均值綜合性溫度(℃);
twp――夏天中央空調棚外測算日氣溫(℃),按本規范第4.1.10條的要求明確;
Jp――排架結構所屬房屋朝向陽光總輻射源光照強度的日均值(W/┫);
αw――排架結構外表層傳熱指數[W/(┫.K)]
2 中央空調棚與鄰棚的夏天溫度差超過3℃時,其根據隔斷墻、混凝土樓板等內排架結構熱傳導產生的冷負載可按式(7.2.8-3)測算:
式中:CLwn――內排架結構熱傳導產生的冷負載(W);
△tls――鄰棚測算氣溫與夏天中央空調棚外測算日氣溫的誤差(℃)。
7.2.9 中央空調棚的夏天測算散濕量,應考慮到散濕源的類型、工作人員集群指數、與此同時應用指數及其自然通風指數等,并依據以下各類明確:
1 身體散濕量;
2 滲入氣體帶到的濕量;
3 化學變化全過程的散濕量;
4 非排架結構各種各樣濕冷表層、液位或流液的散濕量;
5 食品類或汽體原材料的散濕量;
6 機器設備散濕量;
7 排架結構散濕量。
7.2.10 中央空調棚的夏日冷負載,應按中央空調棚各類逐時冷負載的綜合性最高值明確。
7.2.11 空調機組的夏日冷負載,應按以下要求明確:
1 尾端機器設備配有溫度自動控制系統設備時,空調機組的夏日冷負載按所服務項目各中央空調棚逐時冷負載的綜合性最高值明確;
2 尾端機器設備無溫度自動控制系統設備時,空調機組的夏日冷負載按所服務項目各中央空調棚冷負載的合計值明確;
3 應記入新風系統冷負載、再供熱量及其各類相關的額外冷負載。
4 應考慮到所服務項目各中央空調棚的一起應用指數。
7.2.12 空調機組的夏天額外冷負載,宜按以下各類明確:
1 氣體根據離心風機、風道升溫造成的額外冷負載;
2 涼水根據離心水泵、管路、儲水箱升溫造成的額外冷負載。
7.2.13 中央空調棚的冬天供熱量,宜按本規范第5.2節的要求測算;計算時,棚外測算溫度應選用冬天中央空調棚外測算溫度,并扣減棚里機器設備等產生的平穩制熱量。
7.2.14 空調機組的冬天供熱量,應按所服務項目各中央空調棚供熱量的合計值明確,除空調風管部分布局在棚外自然環境的情形外,并不記入各類額外供熱量。
7.3 空調系統
7.3.1 選擇空調系統時,應符合以下原則:
1 依據建筑的主要用途、經營規模、應用特性、負載轉變狀況、主要參數規定、所在城市棚氣象要素和電力能源情況,及其機器設備價錢、電力能源預估價錢等,經工程經濟較為明確;
2 作用繁雜、經營規模很大的商業建筑,宜開展計劃方案比照并提升明確;
3 干熱氣候棚應充分考慮其氣候特征的危害。
7.3.2 符合以下情形之一的中央空調棚,宜各自設定中央空調風系統軟件;必須共用時,解決規范規定高的中央空調棚做解決。
1 使用時間不一樣;
2 溫濕度記錄數量和容許變化范疇不一樣;
3 氣體潔凈度等級規范規定不一樣;
4 噪聲標準規定不一樣,及其有消音規定和造成噪音的中央空調棚;
5 必須與此同時供暖和制冷的中央空調棚。
7.3.3 空氣中帶有易燃易爆物品或有害有害物的中央空調棚,應獨立設置空調風系統軟件。
7.3.4 以下中央空調棚,宜選用全氣體定排風量空調系統:
1 室內空間比較大、工作人員較多;
2 溫濕度記錄容許變化范疇小;
3 噪音或潔凈度等級規范高。
7.3.5 全氣體空調系統設計方案,應符合以下要求:
1 宜選用單風道系統軟件;
2 容許選用比較大排風溫度差時,應選用一次送風式系統軟件;
3 排風溫度差較小、空氣濕度規定不嚴苛時,可選用二次送風式系統軟件;
4 除溫濕度記錄起伏范疇規定嚴苛的中央空調棚外,同一個氣體解決操作系統中,不應該有與此同時加溫和制冷全過程。
7.3.6 符合以下情形之一時,全氣體空調系統應設回離心風機。設定回離心風機時,新風井混和棚的氣體壓力應是負壓力。
1 不一樣時節的排風量轉變比較大、別的排風系統對策不可以融入排風量的轉變規定;
2 送風系統軟件摩擦阻力比較大,設定回離心風機經濟發展有效。
7.3.7 中央空調棚容許溫濕度記錄起伏范疇或噪聲標準規定嚴謹時,不適合選用全氣體空氣處理機組空調系統。工程經濟標準容許時,以下狀況可選用全氣體空氣處理機組空調系統:
1 服務項目于單獨中央空調棚,且一部分負載運作時間較長時,選用棚域空氣處理機組空調系統;
2 服務項目于好幾個中央空調棚,且各棚負載轉變相距大、一部分負載運作時間較長并規定溫度單獨操縱時,選用帶終端設備的空氣處理機組空調系統。
7.3.8 全氣體空氣處理機組空調系統設計方案,應符合以下要求:
1 應依據建筑分類、負載轉變狀況等對中央空調棚開展區劃;
2 系統軟件方式,應依據所服務項目中央空調棚的區劃、使用時間、負載轉變狀況等,經工程經濟較為明確;
3 空氣處理機組尾端設備,宜采用工作壓力不相干型;
4 中央空調棚和系統軟件的較大送排風量。應依據中央空調棚和系統軟件的夏日冷負載明確;中央空調棚的最少送排風量,應按照負載轉變狀況、自然通風等明確;
5 應采用確保最少排風量規定的對策;
6 離心風機應選用調速調整;
7 正壓送風口應符合本標準第7.4.2條的規范規定。
7.3.9 中央空調棚較多,建筑層高較低且各棚溫度規定單獨操縱時,宜選用盤管風機加新風系統空調系統;中央空調棚的空氣質量指數、溫濕度記錄起伏范疇規定嚴苛或空氣中帶有較多廚房油煙時,不適合使用盤管風機加新風系統空調系統。
7.3.10 盤管風機加新風系統空調系統設計方案,應符合以下要求:
1 新風系統宜立即送進工作人員主題活動棚;
2 空氣質量標準規定較高時,新風系統宜壓力中央空調棚的所有散濕量。超低溫家用新風系統設計方案,應符合本標準第7.3.13條的規范規定;
3 宜采用出入口余放低的盤管風機發電機組。
7.3.11 中央空調棚里震動比較大、油漬蒸氣較多及其造成無線電波或高頻率波等場地,不適合選用多聯機空調空調系統。多聯機空調系統設計方案,應符合以下規定:
1 中央空調棚負載特點相距比較大時,宜各自設定多聯機空調空調系統:必須與此同時制冷和供暖時,宜設定余熱回收型多聯機空調空調系統;
2 棚里、室外機中間及其棚里機兩者之間的較大長度和較大坡度,應符合商品技術標準;
3 系統軟件冷媒管等效電路長短應達到相匹配致冷工作狀況下超負荷的功能指數不低于2.8;當商品技術文檔不能滿足計算規定時,系統軟件冷媒管等效電路長短不適合超出70m;
4 棚外機變頻式機器設備,應與別的變頻式機器設備維持有效間距。
7.3.12 有超低溫氟利昂可運用時,宜選用超低溫排風空調機組;相對濕度或送排風量比較大的中央空調棚,不適合選用超低溫排風空調機組。
7.3.13 超低溫排風空調機組設計方案,應滿足以下要求:
1 空氣冷卻器的進風口溫度與氟利昂的進口溫度間的溫度不可以低于3℃,進風口溫度宜選用4℃~10℃,立即脹大式冷凝器進風口溫度不可小于7℃;
2 中央空調棚排風溫度,應測算通風機、風道及其排風尾端設備的升溫;
3 新風機組的型號選擇,應經工程經濟較為明確。空氣冷卻器的迎雨面風力宜選用1. 5m/s~2.3m/s,氟利昂根據空氣冷卻器的升溫宜選用9℃~13℃;
4 排風尾端設備,應合乎本標準第7.4.2條的要求;
5 新風機組、風道及配件、排風尾端設備等應嚴實隔冷,保冷層薄厚應經測算明確,并合乎本標準第11. 1.4條的要求。
7.3.14 中央空調棚散濕量較小且工程經濟有效時,宜選用溫濕度記錄單獨操縱空調機組。
7.3.15 溫濕度單獨操縱空調機組設計方案,應滿足以下要求:
1 自動控制系統,尾端機器設備應壓力中央空調棚的所有顯熱負荷,并依據中央空調棚的熱濕熱原遍布情況等,經工程經濟較為明確;
2 環境濕度自動控制系統,新風系統應壓力中央空調棚的所有散濕量,其處理方法應依據夏天中央空調棚外測算濕度和含濕量、新風系統排風狀況點規定等,經工程經濟較為明確;
3 當選用制冷去濕解決新風系統時,新風再熱不可選用開水、電加熱器等;選用轉軸或飽和溶液去濕解決新風系統時,轉軸或飽和溶液再造不可選用電加熱器;
4 解決棚里氣體的含濕量開展檢測,并實行保證終端機器設備表層不冷凝水的自動控制系統對策。
7.3.16 夏天中央空調棚外設計方案含濕量較低的地棚,經工程經濟較為有效時,宜選用空氣冷卻空調機組。
7.3.17 空氣冷卻空調機組設計方案,應滿足以下要求:
1 空調機組方式,應依據夏天中央空調棚外測算濕度和含濕量及其中央空調棚顯熱負荷、散濕量等明確;
2 全氣體空氣冷卻空調機組,應依據夏天中央空調棚外測算濕度、中央空調棚散濕量和排風狀況點規定等,經工程經濟較為明確。
7.3.18 以下狀況時,應選用直流電式(全新風系統)空調機組:
1 夏天空調機組的棚里氣體比焓超過棚外氣體比焓;
2 系統軟件所業務的各中央空調棚排風量超過按負載測算出的送排風量;
3 棚里釋放有害有害物,及其防火安全防爆型等規定不允許氣體循環系統應用;
4 環境衛生或加工工藝規定選用直流電式(全新風系統)空調機組。
7.3.19 中央空調棚、空調機組的排風量測算,應滿足以下要求:
1 工作人員所需排風量,應依據員工的行動和工作內容,及其在棚里的停留的時間等明確,并合乎本標準第3.0.6條的規范規定;
2 中央空調棚的排風量,應按不小于工作人員所需排風量,賠償排風系統和維持中央空調棚氣體壓力所需排風量之和及其新風系統去濕所需排風量中的最高值明確;
3 全氣體空調機組的排風量,當服務程序于數個不一樣新風系統比的中央空調棚時,系統軟件新風系統比應低于中央空調棚新風系統比中的最高值;
4 家用新風系統的排風量,宜按所服務項目中央空調棚或體系的排風量總計值明確。
7.3.20 舒適性空調和情況可以的工藝性能中央空調,可以用新風系統作冷源時,應最大限度地應用新風系統。
7.3.21 新風進氣口的范圍應融入較大排風量的必須。進氣口處要安置能嚴實關掉的閘閥,進氣口的部位應合乎本標準第6.3.1條的規范規定。
7.3.22 空調機組應開展排風量均衡測算,中央空調棚里的氣體壓力應合乎本標準第7.1.5條的要求。工作人員密集且密封性不錯,或銜接時節應用很多新鮮空氣的中央空調棚,應設定機械設備排風系統設備,排風量應融入排風量的轉變。
7.3.23 配有集中化排風系統的空調機組,且工程經濟有效時,宜設定氣體―空氣動能回收利用設備。
7.3.24 氣體動能回收利用系統開發,應滿足以下規定:
1 動能回收利用設備的種類,應依據解決排風量、新排風系統中顯發熱量和潛熱量的組成及其排風系統中污染物質類型等挑選;
2 動能回收利用設備的測算,應考慮到積灰的危害,并對是不是起霜或冷凝水開展計算。
7.4 自然通風
7.4.1 中央空調棚的自然通風設計方案,應依據中央空調棚的溫度濕度主要參數、容許風力、噪聲標準、空氣質量指數、溫度場及其氣體分散特點指標值(ADPI)等規定,融合內部結構室內裝修、加工工藝或家俱擺放等明確;繁雜室內空間中央空調棚的自然通風設計方案,宜選用測算流體力學(CFD)有限元分析測算。
7.4.2 中央空調棚的通風方法及正壓送風口型號選擇,應滿足以下要求:
1 宜采用百葉窗、條縫型等出風口貼附側送;當側送氣流有阻礙或企業總面積送排風量比較大,且工作人員主題活動棚的風力規定嚴謹時,不應采用側送;
2 配有裝修吊頂時,應依據中央空調棚的相對高度及對氣流的規定,采用散流器或填料排風。當企業總面積送排風量比較大,且工作人員主題活動棚里的風力或棚域溫度差規定較鐘頭,應采用填料排風;
3 又高又大室內空間宜采用噴口排風、旋流風口送風或下邊排風;
4 空氣處理機組尾端設備,應確保在排風量更改時,氣流機構達到中央空調棚自然環境的主要規定;
5 正壓送風口外表溫度應高過棚里含濕量;小于棚里含濕量時,應采用超低溫出風口。
7.4.3 采用貼附側排風時,應滿足以下要求:
1 正壓送風口外緣與頂篷的間距比較大時,正壓送風口應設定向上傾斜10°~20°的引流片;
2 正壓送風口內宜設定避免 水射流傾斜的引流片;
3 水射流步驟中應無阻攔物。
7.4.4 采用填料排風時,應滿足以下要求:
1 填料上端穩壓管層的相對高度應按估算明確,且層高不應低于0.2m;
2 向穩壓管層內送風的速度宜采用3 m/s~5m/s。除排風水射流較長的之外,穩壓管層內并不設排風遍布立管。穩壓管層的正壓送風口處,宜設避免 排風氣流立即吹向填料的引流片或隔板;
3 填料布局應與部分熱原遍布相一致。
7.4.5 采用噴口排風時,應滿足以下要求:
1 工作人員主題活動棚宜坐落于流回棚;
2 噴口安裝相對高度,應依據中央空調棚的相對高度和流回棚遍布等明確;
3 兼作暖風采暖時,宜具備更改水射流出入口視角的作用。
7.4.6 采用散流器排風時,應符合以下規定:
1 出風口布局應有益于排風氣流對周邊氣體的誘發,出風口核心與導墻的間距不能低于1.0m;
2 采用平送方法時,貼附水射流棚無阻攔物;
3 兼作暖風采暖,且出風口安裝相對高度較高時,宜具備更改水射流出入口視角的作用。
7.4.7 采用換置自然通風時,應滿足以下要求:
1 棚間層高宜超過2.7m;
2 排風溫度不能小于18℃;
3 中央空調棚的企業總面積冷負載不適合超過120W/┫;
4 污染物宜為熱原,且環境污染氣體密度較小;
5 棚里工作人員主題活動棚0. 1m至1.1m相對高度的氣體豎直溫度差不適合超過3℃;
6 中央空調棚里不適合有別的氣流機構。
7.4.8 采用木地板排風時,應滿足以下要求:
1 排風溫度不能小于16℃;
2 熱分層次相對高度應在工作人員主題活動棚上邊;
3 靜壓箱應維持密閉式,和非中央空調棚中間有隔熱保溫解決;
4 中央空調棚里不適合有別的氣流機構。
7.4.9 分層次中央空調的氣流施工部署,應滿足以下要求:
1 中央空調棚宜采用雙側排風;當中央空調棚跨距較鐘頭,可采用一側排風,且回風管道宜布局在正壓送風口的同方向下邊;
2 側送多芯平行面水射流應相互之間鋼筋搭接;采用雙側對送水射流時,其有效射程可按相對性噴嘴中點間距的90%測算;
3 宜降低非中央空調棚向空調棚的熱遷移;必需時,宜在非中央空調棚設定送、排風系統設備。
7.4.10 上排風形式的夏天排風溫度差,應依據正壓送風口種類、安裝相對高度、氣流有效射程長短和是不是貼附等明確,并宜合乎以下要求:
1 在達到舒服、加工工藝規定的前提下,宜增加排風溫度差;
2 舒適性空調,宜按表7.4.10-1采用;
3 工藝性能中央空調,宜按表7.4. 10-2采用。
7.4.11 正壓送風口的出入口風力,應依據排風方法、正壓送風口種類、安裝相對高度、中央空調棚容許風力和噪聲標準等明確。
7.4.12 回風口的布置,應符合以下要求:
1 不可建在排風水射流棚里和工作人員長期性滯留的地址;選用側送時,宜建在正壓送風口的同方向下邊;
2 兼做暖風采暖、棚間層高較高時,宜建在棚間的下邊;
3 標準容許時,宜采取集中化送風或過道送風,但過道的橫斷面風力不適合過大;
4 選用換置自然通風、木地板排風時,應設置在工作人員主題活動棚的上邊。
7.4.13 回風口的進風速率,宜按表7.4.13采用。
7.5 氣體解決
7.5.1 氣體的制冷應依據不一樣標準和規定,各自選用以下處理方法:
1 冷卻循環水空氣冷卻;
2 河水、湖泊、地表水等純天然冷源制冷;
3 選用空氣冷卻和純天然冷源等制冷方法達不上規定時,應選用人力冷源制冷。
7.5.2 凡與被空氣冷卻直接接觸的水體均應符合衛生要求。蒸發冷卻選用純天然冷源時,應符合以下要求:
1 水的溫度、強度等符合應用規定;
2 地面水應用之后的智能回水給予再運用;
3 應用之后的地表水應所有地熱井到同一裂隙水,并不可導致環境污染。
7.5.3 蒸發冷卻設備的挑選,應符合以下要求:
1 選用冷卻循環水空氣冷卻或純天然冷源時,宜選用立即揮發式制冷設備、間接性揮發式制冷設備和空氣冷卻器;
2 選用人力冷源時,宜選用空氣冷卻器。當規定運用污水開展隔熱增濕或運用灑水提升氣體解決后的對比度時,可采用帶灑水設備的空氣冷卻器。
7.5.4 空氣冷卻器的挑選,應符合以下要求:
1 氣體與氟利昂應反向流動性;
2 氟利昂的進口溫度,應該比氣體的出入口干球溫度最少低3.5℃。氟利昂的升溫宜選用5℃~10℃,其流動速度宜選用0.6m/s~1.5m/s;
3 迎雨面的空氣質量指數流動速度宜選用2.5 kg/(┫?s)~3.5kg/(┫?s),當迎雨面的空氣質量指數流動速度超過3.Okg/(┫?s)時,應在冷卻塔后設定檔板;
4 超低溫排風空調機組的空氣冷卻器,應符合本標準第7.3.13條的規范規定。
7.5.5 冷媒立即脹大式空氣冷卻器的揮發溫度,應該比氣體的出入口干球溫度最少低3.5℃。常溫下空調機組超負荷運作時,揮發溫度不能小于O℃;低負載運轉時,應避免 空氣冷卻器表層起霜。
7.5.6 空調機組不可選用氨作冷媒的立即脹大式空氣冷卻器。
7.5.7 空氣加熱器的挑選,應符合以下要求:
1 加溫氣體的熱煤宜選用開水;
2 工藝性能中央空調,當棚溫容許變化范疇低于±1. O℃時,排風尾端的電加熱器宜選用電加熱裝置;
3 開水的供電溫度及供智能回水溫度差,應符合本標準第8.5.1條的要求。
7.5.8 兩管控水系統軟件,當冬夏天中央空調負載相距比較大時,應分別測算冷、熱風機盤管的傳熱總面積;當二者傳熱總面積差距非常大時,宜各自設定冷、熱風機盤管。
7.5.9 空調機組的新風系統和送風應經過慮解決。空氣過濾網的設定,應符合以下要求:
1 舒適性空調,當選用初效過濾器不可以滿足需要時,應設定中效過濾器;
2 工藝性能中央空調,應按空調棚的潔凈度等級規定設定過濾裝置;
3 空氣過濾網的摩擦阻力應按終阻力測算;
4 宜設定過濾裝置摩擦阻力檢測、警報系統,并應具有拆換標準。
7.5.10 針對人員密集中央空調棚或空氣質量指數規定較高的場地,其全氣體空調機組宜設定空氣過濾設備。空氣過濾設備的種類,應依據工作人員相對密度、初項目投資、運作成本及中央空調棚自然環境規定等,經工程經濟較為明確,并符合以下要求:
1 空氣過濾設備種類的選用應依據空凋棚污染物質特性挑選;
2 空氣過濾設備的指標值應符合現行標準有關規范。
7.5.11 空氣過濾設備的設定應符合以下要求:
1 空氣過濾設備在空氣過濾處理方式中不可造成新的環境污染;
2 空氣過濾設備宜安裝在氣體熱濕處理設備的進氣口處,凈化處理規定高時可在通風口處設定二級凈化處理設備;
3 應安裝檢查口;
4 宜具有凈化處理無效報警作用;
5 髙壓靜電感應空氣過濾設備應設定與離心風機合理連動的對策。
7.5.12 冬天中央空調棚環境濕度有規定時,宜設定增濕設備。增濕設備的種類,應依據增濕量、空氣濕度容許變化范疇規定等,經工程經濟較為明確,并應滿足以下要求:
1 有蒸氣源時,宜選用干蒸汽加濕器;
2 無蒸氣源,且中央空調棚環境濕度精度規定嚴謹時,宜選用電空氣加濕器;
3 環境濕度規定不高時,可選用髙壓噴霧器或濕膜等隔熱空氣加濕器;
4 增濕設備的供電水體應衛生指標規定。
7.5.13 新風機組宜安裝在空調棚里。空調棚應滿足以下要求:
1 相鄰所業務的中央空調棚;
2 機棚總面積和層高應依據發電機組規格明確,并確保風道的安裝區域及其合理的發電機組實際操作、維修室內空間;
3 機棚里應考慮到排水管道和地面防水設備。
9檢測與監管
9.1 一般要求
9.1.1 采暖、自然通風與空調系統應設定檢測與監控設備或系統軟件,并應符合以下要求:
1 檢測與監管內容可包含主要參數檢測、參數與機器設備情況表明、自動調節與操縱、工作狀況全自動變換、機器設備連鎖加盟與全自動維護、動能計量檢定及其中間監管與管理等。主要內容和方法應依據建筑的基本功能與規定、系統軟件種類、機器設備運轉的時間及其加工工藝對監管的需要等要素,根據工程經濟較為明確;
2 系統軟件經營規模大,制冷機器設備數量多且密切相關各一部分距離較遠時,應選用集中監控系統軟件;
3 不具有選用集中監控系統軟件的采暖、自然通風與空調系統,宜選用就地控制系統或系統軟件。
9.1.2 采暖、自然通風與空調系統的主要參數檢測應符合以下要求:
1 體現機器設備和管路體系在起停、運作及安全事故處理方式中的安全可靠和經濟形勢的主要參數,應開展檢測;
2 用以設施和系統軟件關鍵特性測算和經濟運行分析所需求的主要參數,宜開展檢測;
3 檢測儀表盤的選取和安裝應與警報、自動控制系統和電子計算機監控等內容充分考慮,不適合反復設定,就地檢測儀表盤應建在有利于觀測的地址。
9.1.3 選用集中監控控制系統的機電設備,需設就地手動式操縱設備,并根據遠程控制/就地切換開關完成長距離與就地手動式操縱中間的變換;遠程控制/就地切換開關的情況應是監控系統的檢測主要參數之一。
9.1.4 采暖、自然通風與空凋機器設備設定連動、連鎖加盟等保障措施時,應符合以下要求:
1 當選用集中監控系統軟件時,連動、連鎖加盟等保障措施應由集中監控系統軟件完成;
2 當選用就地控制系統時,連動、連鎖加盟等保障措施,應是自動化控制系統的一部分或獨立設置;
3 當無集中監控或就地控制系統時,應設定專業連動、連鎖加盟等保障措施。
9.1.5 加熱爐棚、換熱機棚和制冷機組棚的動能計量檢定應符合以下要求:
1 應計量檢定然料的使用量;
2 應計量檢定用電量;
3 應計量檢定集中供暖系統軟件的供熱量;
4 應計量檢定補水流量;
5 應計量檢定集中化空調系統冷源的制冷量;
6 循環泵用電量宜獨立計量檢定。
9.1.6 中央級監管智能管理系統應符合以下要求:
1 理應能以與當場檢測儀表同樣的間隔時間與測量精度持續紀錄,表明各系統軟件運作主要參數和機器設備情況。其存儲介質和數據庫查詢應能確保紀錄持續一年以上的運轉主要參數;
2 應能測算和按時統計系統的基礎代謝、各臺機器設備持續和總計運轉時間;
3 應能更改各控制板的額定值,并且能夠對設定為“遠程控制”情況的機器設備立即開展啟、停和調整;
4 應依據設定的時刻表,或根據環保節能管理程序全自動開展系統軟件或設施的起停;
5 應開設作業者權限管理等安全性體制;
6 應該有主要參數越限警報、安全事故告警及警報紀錄作用,并宜配有系統軟件或機器設備故障檢測作用;
7 宜設定可與別的綜合布線系統信息共享的集成化插口。
9.1.7 消火栓系統的檢測與監管,應實行我國現行標準相關消防規范的要求;與消火栓系統共用的自然通風空調系統應按消防安全設定的規定配電,并在火災事故時轉到火災事故操縱情況;通風空調工程風管上的排煙防火閥宜具備部位意見反饋作用。
9.1.8 有特別要求的冷熱原機棚、自然通風和空調系統的檢測與監管應符合有關標準規范的要求。
9.2 感應器和電動執行器
9.2.1 感應器的選用應符合以下要求:
1 當以安全性保障和機器設備情況監控為目標時,宜挑選溫度開關、壓力控制器、風流韻事電源開關、水流開關、壓差開關、水位傳感器等以開關量方式輸出的感應器,不適合應用持續量輸出的感應器;
2 傳感器檢測范圍和精密度應與二次儀表盤配對,并高過加工工藝規定的操縱和測量精度;
3 易燃易爆物品自然環境應選用阻燃隔爆型感應器。
9.2.2 溫度、溫度傳感器的設定,應符合以下要求:
1 溫度、溫度傳感器檢測范圍宜為測量點溫度范圍的1.2~1. 5倍,感應器檢測范圍和精度應與二次儀表匹配,并高于工藝規定的操縱和測量精度;
2 供、回水管溫度差的2個溫度感應器應成對采用,且溫度誤差指數應同是正或負;
3 掛壁式氣體溫度、溫度傳感器應安裝在室內通風,能表明被測棚間氣體情況的部位;風管內溫度、溫度傳感器應確保插進深層,不可在檢測頭與風管兩側產生變形;插式自來水管溫度感應器應確保測頭插進深層在流水的流行棚范疇內,安裝部位周邊不應該有熱原及水珠;
4 設備含濕量感應器應安裝在檔板后有象征性的部位,應防止熱輻射、震動、水珠及二次送風的危害。
9.2.3 工作壓力(壓力差)感應器的設定,應滿足以下要求:
1 工作壓力(壓力差)感應器的壓力(壓力差)應高于該點很有可能產生的最高工作壓力(壓力差)的1.5倍,測量范圍宜為該點工作壓力(壓力差)正常的轉變區域的1.2~1.3倍;
2 在同一工程建筑層的同一水體系上安裝使用的工作壓力(壓力差)感應器宜處在同一設計標高;
3 測壓點和取壓點的設定應依據體系必須和物質種類明確,建在管中流動性平穩的位置并達到商品要的安裝使用標準。
9.2.4 egr的設定,應滿足以下要求:
1 egr測量范圍宜為系統軟件較大工作中總流量的1.2~1.3倍;
2 egr安裝部位前后左右應該有確保商品所需求的接管段距離或別的安裝標準;
3 應取用具備瞬態值輸出的egr;
4 宜采用流水摩擦阻力低的商品。
9.2.5 自動調節閥的挑選,應滿足以下要求:
1 閥權度的確認應充分考慮調整特性和運輸耗能的危害,宜取0.3~0.7。閥權度應按住式測算:
式中:S――閥權度;
△Pmin――調節閥門全開時的的壓力損害(Pa);
△P ――調節閥門所屬串連環路的總的壓力損害(Pa)。
2 調節閥門的總流量特點應依據調整目標特點和閥權度挑選,并宜合乎以下要求:
1)水道兩通閥宜選用等百分數特點的閘閥;
2)水道三通閥宜選用雙曲線特點或線形特點的閘閥;
3)蒸氣兩通閥,當閥權度大于或等于0.6時,宜選用線形特點的;當閥權度低于0.6時,宜選用等百分數特點的閘閥。
3 調節閥門的規格應按照應用目標規定的商品流通工作能力,根據測算挑選明確。
9.2.6 蒸氣兩通閥應選用單閥閥。三通分離閥不可作三通混合閥應用;三通混合閥不適合作三通分離閥應用。
9.2.7 當僅以電源開關方式用以機器設備或系統軟件水道轉換時,應選用通斷閥,不可選用調節閥門。
9.3 采暖排風系統的檢查與監管
9.3.1 供熱系統解決以下主要參數開展檢驗:
1 供熱系統的供電、供汽和智能回水干管內的熱煤溫度和工作壓力;
2 過濾裝置的進出口貿易負壓差;
3 離心水泵等設施的起停情況;
4 熱空氣幕的起停情況。
9.3.2 開水集中化供熱系統的棚溫管控應合乎本標準第5.10節的相關要求。
9.3.3 排風系統解決以下主要參數開展檢驗:
1 排風機的起停情況;
2 易燃或危險物品泄露等安全事故情況;
3 空氣過濾網進出口貿易負壓差的越限警報。
9.3.4 安全事故排風系統的排風機應與易燃氣體泄露、安全事故等探測儀連鎖加盟打開,并宜在工作中地址配有聲、光等警報情況的警告。
9.3.5 排風系統的操縱應滿足以下要求:
1 應確保棚間排風量均衡、溫度、工作壓力、污染物質濃度值等規定;
2 宜依據棚間內機器設備應用情況開展自然通風量的調整。
9.3.6 排風系統的監管應滿足有關現行標準建筑防火規范和本標準第6章的相應要求。
9.4 空調系統的檢測與監控
9.4.1 空調系統應對以下主要參數開展檢測:
1 棚里、外氣體的溫度;
2 空氣冷卻器出入口的涼水溫度;
3 空氣加熱器出入口的開水溫度;
4 空氣過濾網進出口貿易負壓差的越限警報;
5 離心風機、離心水泵、轉軸換熱器、空氣加濕器等機器設備起停情況。
9.4.2 全年度運作的空調系統,宜使用多工作狀況運作的監控設計方案。
9.4.3 棚溫容許變化范疇小于或等于±1℃和空氣濕度容許變化范疇小于或等于±5%的空調系統,當水冷器空氣冷卻器選用變水流量操縱時,宜由棚里溫度、環境濕度控制器根據低值或低值選擇符開展優先選擇操縱,并對電加熱器或空氣加濕器開展分程操縱。
9.4.4 全氣體空調系統的操縱應滿足以下要求:
1 棚溫的操縱由排風溫度或/和送排風量的調整完成,應依據空調系統的種類和工作狀況開展挑選;
2 排風溫度的操縱應根據調整冷卻塔或電加熱器水道調壓閥和/或新、回風管調整電動風閥完成。水道調壓閥的設定應合乎本標準第8. 5.6條的要求,且宜選用plc調節閥門;必須操縱混風溫度時電動風閥宜選用plc調節閥門;
3 選用空氣處理機組系統軟件時,離心風機應選用調速操縱方法;
4 當選用增濕解決時,增濕量應按棚里環境濕度規定和熱濕負載狀況開展操縱。當棚里散濕量比較大時,宜選用設備含濕量不穩定或不做到設備含濕量的方法,立即操縱棚里空氣濕度;
5 緩沖期宜選用增加新風系統比的形式運作。
9.4.5 新風機組的操縱應滿足以下要求:
1 新風機組水道電動調節閥的設定應合乎第8.5.6條的規定,且宜選用plc調節閥門;
2 水道電動調節閥的操縱和調整應確保必須的排風溫度額定值,排風溫度額定值應依據新風系統擔負棚里負載狀況完成明確;
3 當家用新風系統開展增濕解決時,增濕量的操縱和調整可依據增濕精密度規定,選用排風環境濕度穩定或棚里環境濕度穩定的調節方法。
9.4.6 盤管風機水道電動調節閥的設定應合乎第8.5.6條的規定,并宜設定常閉試電動式通斷閥。
9.4.7 冬天有凍潔概率的地棚,新風機組或制冷機組應設定防寒維護操縱。
9.4.8 空調系統氣體解決設備的排風溫度額定值,應按制冷和加溫工作狀況各自明確;當制冷和加溫工作狀況交換時,應設熱冷變換設備。冬天和夏天必須更改排風方位和排風量的出風口應設定一年四季變換設備。變換設備的調節可獨立設置或做為集中化監控系統軟件的一部分。
9.4.9 空調系統的電加熱裝置應與通風機連鎖加盟,并需設沒有風進入關閉電源、過熱關閉電源保護設備;電加熱裝置務必采用接地裝置及漏電保護保障措施。
9.5 中央空調冷熱原以及水系統的檢測與監控
9.5.1 中央空調冷熱原以及水系統軟件,應對以下主要參數開展檢測:
1 制冷機組冷凝器進、出入口水的溫度、工作壓力;
2 制冷機組冷卻器進、出入口水的溫度、工作壓力;
3 換熱器一二次側進、出入口溫度、工作壓力;
4 分、分集水器溫度、工作壓力(或壓力差);
5 離心水泵進出口貿易工作壓力;
6 過濾器前后左右壓力差;
7 制冷機組、離心水泵、鍋爐風機等設施的起停情況。
9.5.2 蓄冷(熱)系統軟件應對以下主要參數開展檢測:
1 蓄冷(熱)設備的進、出入口物質溫度;
2 電熱鍋爐的進、出入口水的溫度;
3 蓄冷(熱)設備的液位儀;
4 調節閥門的閥位;
5 蓄冷(熱)量、制冷(熱)量的瞬時值和總計值;
6 常見故障警報。
9.5.3 制冷機組宜選用由制冷量提升操縱運作數量的方法;選用全自動方法運作時,涼水系統軟件中各相應機器設備及配件與制冷機組應開展電氣設備連鎖加盟,次序起停。
9.5.4 冰蓄冷系統軟件的二次氟利昂側熱交換器應設防寒維護控制。
9.5.5 變流量一級泵系統軟件冷水機組定流量運作時,空調水系統總供、回水管中間的旁通閥調節閥門應選用壓差控制。壓差測量點有關規定應合乎本標準第9.2.3條的要求。
9.5.6 二級泵和多級離心泵空調水系統中,二級泵等負載側各個水泵運作數量宜選用流量控制方法;水泵調速宜依據系統軟件壓差轉變控制。
9.5.7 變流量一級泵系統軟件冷水機組變流量運作時,空調水系統的控制應滿足以下要求:
1 總供、回水管中間的旁通閥調節閥門可選用流量、溫度差或壓差控制;
2 水泵的數量和調速控制應合乎本標準第9.5.6條的規定;
3 應選用精準控制流量和減少水流量轉變速度的控制對策。
9.5.8 中央空調冷卻循環水的控制調整應滿足以下要求:
1 鍋爐風機打開數量或轉速比宜依據閉式冷卻塔出水量溫度控制;
2 當閉式冷卻塔供回水總管間設定旁通閥調節閥門時,應依據冷水機組最少冷卻循環水溫度調整旁通閥水流量;
3 可依據水質監測狀況開展污水處理控制。
9.5.9 集中監控系統軟件與冷水機組控制器中間宜創建通訊聯接,完成集中監控系統軟件中間服務器對冷水機組運作主要參數的檢查與監管。
11隔熱與防腐蝕
11.1 絕 熱
11.1.1 具備以下情況之一的設備、管路(包含管材、閘閥等)應開展隔熱保溫:
1 設備與管路的外外表溫度高過50℃時(不包括棚里供熱管道);
2 熱物質務必確保一定情況或主要參數時;
3 不隔熱保溫時,熱損耗率大,且不經濟發展時;
4 安裝或鋪設在有凍潔風險場地時;
5 不隔熱保溫時,釋放的卡路里會對棚間溫、環境濕度主要參數造成不良危害或不安全要素。
11.1.2 具備以下情況之一的設備、管路(包含閘閥、管配件等)應開展隔冷:
1 冷物質小于常溫下,必須降低設備與管路的冷損害時;
2 冷物質小于常溫下,必須避免 設備與管路表層精華露時;
3 必須降低冷物質在制造和運輸環節中的升溫或氣化時;
4 設備、管路不保冷時,釋放的制冷量會對棚間溫、環境濕度主要參數造成不良危害或不安全要素。
11.1.3 設備與管道絕熱材料的選擇應符合以下要求:
1 絕熱材料以及產品的關鍵功能應符合現行標準行業標準《設備及管道隔熱設計方案技術規范》GB/T 8175的相關要求;
2 設備與管道的絕熱材料點燃特性應達到現行標準相關消防規范的規定;
3 保溫隔熱材料的可以運用環境溫度應高過正常的使用時的物質最高溫度;
4 隔冷原材料的最少安全性應用環境溫度應明顯低于正常實際操作時物質的最低溫;
5 保溫隔熱材料應選擇導熱系數小、相對密度小、工程造價低、便于工程施工的原材料和產品;
6 隔冷原材料應選擇導熱系數小、吸濕性率低、吸水性小、相對密度小、抗低溫特性好、便于工程施工、工程造價低、綜合性經濟收益高的原材料;優先選擇采用內肌型原材料和對異型位置隔冷簡單的原材料;
7 經綜合性經濟發展比較適合時,可以采用復合型絕熱材料。
11.1.4 設備和管道的隔熱層薄厚應按目前行業標準《設備及管道隔熱設計方案技術規范》GB/T 8175中經濟發展薄厚方式測算明確,也可以按本標準附則K采用。必需時也可按容許表層熱損害法或容許物質溫降法測算明確。
11.1.5 設備與管道的保冷層薄厚應按以下標準測算明確:
1 制冷或熱冷同用時,應按目前行業標準《設備及管道隔熱設計方案技術規范》GB/T 8175中經濟發展薄厚和避免 表層結霜的保冷層薄厚方式測算,并取厚值,或按本標準附則K采用;
2 凝結水管應按《設備及管道隔熱設計方案技術規范》GB/T 8175中避免 表層冷凝水隔冷薄厚方式測算明確,或按本標準附則K采用。
11.1.6 當選擇混合型風道時,混合型風道絕熱材料的傳熱系數應符合附則K中有關規定。
11.1.7 設備與管道的隔熱設計方案應符合以下規定:
1 管道和支撐架中間,管道過墻、穿混凝土樓板處要采用避免 “變形”或“熱橋”的對策;
2 保冷層的外外表不可造成冷凝水;
3 選用非內肌原材料隔熱保溫時,外外表應設防護層;選用非內肌原材料隔冷時,外外表應設隔汽層和防護層。
11.2 防 腐
11.2.1 設備、管道以及配套設施的部、零配件的資料應依據觸碰媒介的特性、濃度值和應用條件等標準,融合資料的抗腐蝕特點、應用位置的重要意義及合理性等要素明確。
11.2.2 除稀有金屬、不銹鋼鋼管、不銹鋼板材、鍍鋅管、鍍鋅板和鋁合金板外,金屬材料設備與管道的外表層防腐蝕,宜選用上漆。鍍層類型應能承受自然環境空氣的浸蝕。
11.2.3 鍍層的面漆與油漆應搭配應用。外有絕熱材料的管道該涂面漆。
11.2.4 上漆前管道外表層的處置應符合鍍層商品的相對應規定。當有特別要求時,應在設計方案資料中要求。
11.2.5 用以與低合金鋼表層了解的絕熱材料應符合現行標準行業標準《工業生產設備及管道隔熱工程項目施工標準》GB 50126相關氯離子含量的要求。
附則B 棚外氣體測算溫度簡單化方式
B.0.1 采暖棚外測算溫度,可按住式明確(化作整數金額):
twn=0.57t1p 0.43tp.min (B.0.1)
式中:twn――采暖棚外測算溫度(℃)
t1p――累年最冷月氣溫(℃);
tp?min――累年最少日氣溫(℃)。
B.0.2 冬天空調系統棚外測算溫度,可按住式明確(化作整數金額):
twk=0.30t1p 0.70tp.min (B.0.2-1)
式中:twk――冬天空調系統棚外測算溫度(℃)。
夏天自然通風棚外測算溫度,可按住式明確(化這整數金額):
twf=0.71t1p 0.29tmax (B.0.2-2)
式中:twk――冬天空調系統棚外測算溫度(℃)。
夏天自然通風棚外測算溫度,可按住式明確(化這整數金額):
式中:twp――夏天空調系統棚外測算干球溫度(℃)。
B.0.3 夏天空調系統棚外測算干球溫度,可按住式明確:
twp=0.71trp 0.29tmax (B.0.3)
式中:twp――夏天空調系統棚外測算干球溫度(℃)。
B.0.4 夏天空調系統棚外測算濕度,可按以下公式計算明確:
tws=0.72ts.rp 0.28ts.max (B.0.4-1)
t
tws=0.80ts.rp 0.20ts.max (B.0.4-3)
式中:tws――夏天空調系統棚外測算濕度(℃);
ts?rp――與累年最火月氣溫和平均空氣濕度相對性應的濕度(℃),可在本地大氣壓強下的焓濕圖上查得;
ts?max――與累年極端化最高溫度和最火月均值空氣濕度相對性應的濕度(℃),可在本地大氣壓強下的焓濕圖上查得。
注:式(B.0.4-1)適用北邊地棚;式(B.0.4-2)適用中間地棚,式(B.0.4-3)適用南邊地棚。
B.0.5 夏天空調系統棚外測算日氣溫,可按住式明確:
twp=0.80trp 0.20tmax (B.0.4-3)
式中:twp――夏天空調系統棚外測算日氣溫(℃)。
附則D 夏天通過規范玻璃窗的太陽輻射量光照強度
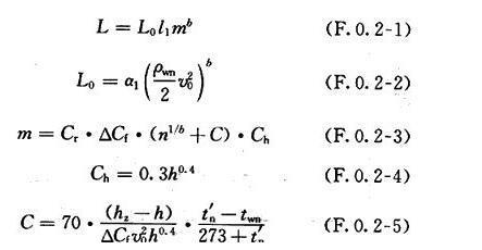
附則F 加溫由窗門間隙滲透到棚里的強冷空氣的熱負荷
F.0.1 多層高層工程建筑,加溫由窗門間隙滲透到棚里的強冷空氣的熱負荷,可按住式測算:
式中:Q――由窗門間隙滲透到棚里的強冷空氣的熱負荷(W);
cp――氣體的定壓比熱容cp=1.01kJ/(kg/m3)
L――滲入強冷空氣量(m3/h),按本標準第F.0.2條明確;
tn――采暖棚里設計方案溫度(℃),按本標準第3.0.1條明確;
twn――采暖棚外測算溫度(℃),按本標準第4.1.2條明確;
F.0.2 滲入強冷空氣量可依據不一樣的房屋朝向,按以下計算公式:
式中:Lo――在純粹氣壓功效下,不考慮到房屋朝向調整和房屋建筑內部結構裝修隔斷狀況下,根據每米窗門間隙進到棚里的基礎理論滲入強冷空氣量[m3/(m.h)];
l1――外窗門間隙的長短(m);
m――氣壓與壓合一同的作用下,考慮到工程建筑身型、內部結構裝修隔斷和自然通風等要素后,不一樣房屋朝向、不一樣高寬比的窗門冷氣滲透濃度差綜合性修正系數;
b――窗門間隙滲風數,當無評測數據資料時,可用b=0.67;
α1――外窗門間隙滲風指數[m3/(m.h.Pab)],當無評測數據資料時,按本標準表F.0.3-1選用;
VO――冬天棚外較多風頻的均值風力,m/s,按本標準第4.1節的相關要求明確;
Cr――壓合指數,當沒法準確測算時,按表F.0.3-2選用;
△Cf――風壓差指數,當無評測數據資料時,可用0.7;
n――純粹氣壓功效下,滲入強冷空氣量的房屋朝向修正系數,按本標準附則G選用;
C――功效于窗門上的合理熱壓力差與合理風壓差之比;
Ch――相對高度修正系數;
h――測算窗門的軸線設計標高(m);
hz――純粹壓合功效下,房屋建筑中揉面的設計標高(m),可用房屋建筑總髙度的1/2;
t'n――房屋建筑內產生壓合功效的立井測算溫度(℃)。
F.0.3 外窗門間隙滲風指數、壓合指數可按表F. 0.3-1、表F.0.3-2選擇。

? 進行條款表明
附則H 夏天空凋冷負載簡單化計算方式測算指數表
H.0.1 北京市、西安市、上海市及上海等意味著大城市墻體、平屋面逐時冷負載測算溫度twlq、twlm,可按表H.0.1-1~表H.0.1-4選用。墻體、平屋面種類及隔熱性能參數可按表H.0.1-5、表H.0.1-6選用。
H.0.2 外窗熱傳導逐時冷負荷測算溫度twlc,可按表H.0.2采用。
H.0.3 通過無遮光規范夾層玻璃太陽輻射冷負荷系標值CclC,可按表H.0.3采用。
H.0.4 夏天透過規范玻璃窗的陽光總輻射源照度最高值DJmax,可按表H.0.4選用。
附則K 機器設備與管路最少隔熱保溫、隔冷薄厚及凝結水管防冷凝水薄厚采用表
K.0.1 空調通風設備與保溫管道薄厚可按表K.0.1-1~表K.0.1-3采用。
注:管路與機器設備隔熱保溫指標值標準:
1 所有按經濟發展薄厚測算,還款6年,貸款利息10%,使用壽命按120天,2880鐘頭。熱價35元/GJ等同于大城市供暖;熱價85元/GJ等同于天燃氣供暖。
2 導熱系數λ:柔性泡沫橡塑λ=0.034 0.00013tm;離心玻璃λ=0.031 0.00017tm.
3 適用棚里工作溫度20℃,風力0m/s;棚外溫度為0℃,風力3m/s.
4 機器設備隔熱保溫薄厚可按較大規格管路的隔熱薄厚再提高5mm。
5 當棚外溫度非0℃時,具體使用的薄厚
在其中δ為工作溫度0℃時的查詢表薄厚,To為管中物質溫度(℃),Tw為具體使用壽命均值工作溫度(℃)。
K.0.2 棚里機棚內空調通風設備與管路隔冷薄厚可按表K.0.2-1~表K.0.2-2中給定的壁厚采用。
注:管路與機器設備隔冷造表標準:
1 均選用經濟發展薄厚和防冷凝水規定明確的絕熱材料薄厚。冷價按75元/GJ;還款6年,貸款利息10%;使用壽命按120天,2880鐘頭。
2 Ⅰ棚通常是指較干躁地棚,棚里機棚工作溫度不高過31℃、空氣濕度不得超過75%;Ⅱ棚通常是指較濕冷地棚,棚里機棚工作溫度不高過33℃、空氣濕度不超過80%;各大城市或地棚可對比應用。
3 導熱系數λ:柔性泡沫橡塑λ=0.034 0.00013tm;離心玻璃λ=0.031 0.00017tm;聚氨酯保溫λ=0.0275 0.00009tm。
4 蓄冰機器設備隔冷薄厚應按較大規格管路的隔冷薄厚再提高5mm~10mm。
K.0.4 空調風管隔熱傳熱系數與空調冷凝水管道保冷薄厚可按表K.0.4-1和表K.0.4-2采用。
注:技術性調整:
1 房屋建筑內工作溫度:冷氣時26℃,曖風時20℃;
2 以玻璃纖維棉為意味著原材料,冷價為75元/GJ,熱價為85元/GJ。
注:Ⅰ棚通常是指較干躁地棚,棚里機棚工作溫度不高過31℃、空氣濕度不得超過75%;
Ⅱ棚通常是指較濕冷地棚,棚里機棚工作溫度不高過33℃、空氣濕度不超過80%。
引入規范名單
1 《建筑設計防火規范》GB 50016
2 《城鎮燃氣設計規范》GB 50028
3 《鍋爐棚設計規范》GB 50041
4 《高層住宅工業建筑設計消防規范》GB 50045
5 《工業設備及管道隔熱工程項目施工標準》GB 50126
6 《公共性節能建筑設計規范》GB 50189
7 《自然通風與空調工程施工質量施工驗收規范》GB 50243
8 《機器設備及管道隔熱設計技術規范》GB/T 8175
9 《中等熱環境 PMV和PPD指數的測定及熱舒適條件的規定》GB/T 18049
10 《蓄冷空調工程技術規程》JGJ 158
11 《散熱器恒溫控制閥》JG/T 195
MENU